Three Phase Transformer Model Specifications & Parameters: Complete Summary from 30kVA to 50000kVA
A three-phase transformer is a critical device in electrical power systems used for voltage conversion, power transmission, and energy distribution. Compared with single-phase transformers, a 3-phase transformer provides better load balance, improved efficiency, and reduced conductor material usage.
Three-phase transformers are widely applied in:
- Power transmission networks
- Industrial manufacturing plants
- Renewable energy systems
- Commercial buildings
- Utility distribution substations
Transformer capacity ranges from small units such as 15kVA transformers to large grid equipment exceeding 50000kVA.
Basic Structure of a Three-Phase Transformer
A three-phase transformer consists of three sets of windings connected to a shared magnetic core. These windings form various electrical configurations such as:
- Delta (Δ) connection
- Wye (Y) connection
- Delta-Wye transformer
Main Transformer Components
|
Component |
Function |
|
Magnetic core |
Provides a magnetic flux path |
|
Primary winding |
Receives electrical energy |
|
Secondary winding |
Supplies transformed voltage |
|
Insulation system |
Prevents electrical faults |
|
Dissipates operational heat |
Efficient magnetic flux transfer ensures minimal energy loss and stable transformer operation.

Three-Phase Transformer Voltage Specifications
Transformer voltage rating determines how electricity flows between transmission and distribution networks.
Typical Voltage Combinations
|
Primary Voltage |
Secondary Voltage |
Application |
|
11kV |
400V |
Utility distribution |
|
13.8kV |
480V |
Industrial plants |
|
22kV |
415V |
Commercial power systems |
|
33kV |
690V |
Renewable energy installations |
Voltage ratios are determined by the turns ratio between primary and secondary windings.
3 Phase Transformer kVA Chart (10kVA–50000kVA Full Table)
A 3-phase transformer kVA chart is widely used by electrical engineers to quickly estimate current ratings and load capacity. Three-phase transformers are manufactured in many different ratings to meet varying load requirements. This chart helps determine:
- Cable size selection
- Circuit breaker rating
- Power distribution planning
- Transformer load capacity
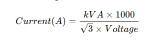
The current values below are calculated using the standard formula:

The table assumes a 400V three-phase system, which is common in industrial and commercial power distribution.
Three Phase Transformer kVA to Amps Chart
|
Transformer Size (kVA) |
Current (A) @ 400V |
Typical Application |
|
10kVA |
14 A |
Small equipment |
|
15kVA |
22 A |
Small commercial loads |
|
25kVA |
36 A |
Rural distribution |
|
30kVA |
43 A |
Residential power |
|
45kVA |
65 A |
Agricultural equipment |
|
50kVA |
72 A |
Small commercial systems |
|
75kVA |
108 A |
Office buildings |
|
100kVA |
144 A |
Small factories |
|
112.5kVA |
162 A |
Industrial equipment |
|
150kVA |
216 A |
Manufacturing plants |
|
200kVA |
288 A |
Commercial power systems |
|
225kVA |
325 A |
Shopping centers |
|
300kVA |
433 A |
Industrial loads |
|
400kVA |
577 A |
Manufacturing facilities |
|
500kVA |
721 A |
Industrial plants |
|
630kVA |
909 A |
Medium substations |
|
750kVA |
1082 A |
Large commercial buildings |
|
1000kVA |
1443 A |
Heavy industrial systems |
|
1250kVA |
1804 A |
Utility distribution |
|
1500kVA |
2165 A |
Large substations |
|
2000kVA |
2886 A |
Power distribution stations |
|
2500kVA |
3608 A |
Industrial substations |
|
3000kVA |
4330 A |
Utility power networks |
|
5000kVA |
7217 A |
Regional substations |
|
10000kVA |
14434 A |
High power transmission |
|
20000kVA |
28867 A |
Large power plants |
|
50000kVA |
72168 A |
Grid transmission systems |
How to Use the Transformer kVA Chart
Electrical engineers use this chart during power system design to quickly match transformer capacity with load demand.
Example
If a factory requires 600A of current at 400V, the chart indicates that a 400kVA transformer would be appropriate.
Practical Uses
|
Engineering Task |
How the Chart Helps |
|
Transformer sizing |
Match load demand |
|
Cable sizing |
Determine conductor capacity |
|
Circuit breaker selection |
Ensure safe operation |
|
Power system planning |
Estimate total load |
Using a 3-phase transformer kVA chart simplifies electrical design and helps prevent overloading or underutilizing transformers.
Transformer kVA Chart for Different Voltage Levels
Transformer current varies depending on the voltage level. Below is a quick comparison.
|
Transformer |
400V Current |
480V Current |
|
108A |
90A |
|
|
150A |
120A |
|
|
150kVA transformer |
216A |
180A |
|
300kVA transformer |
433A |
361A |
|
500kVA transformer |
721A |
601A |
|
1000kVA transformer |
1443A |
1202A |
Higher voltage systems result in lower current for the same power level, which reduces conductor losses.
Engineering Tip for Transformer Selection
When selecting a three-phase transformer, engineers usually add a 20–25% safety margin to accommodate:
- Future load expansion
- Power factor variations
- Temporary overload conditions
Example
If the calculated load is 300kVA, engineers may select a 400kVA transformer to ensure long-term reliability.
Transformer kVA to Current Calculator
Electrical engineers often need to calculate current based on transformer capacity.
Three-Phase Transformer Current Formula

Example Calculation
For a 500kVA transformer operating at 400V:

Quick Calculation Table
|
Transformer Size |
Voltage |
Current |
|
75kVA transformer |
400V |
108A |
|
150kVA transformer |
400V |
216A |
|
300kVA transformer |
400V |
433A |
|
500kVA transformer |
400V |
721A |
|
1000kVA transformer |
400V |
1443A |
This calculator helps determine cable sizing, circuit protection, and load capacity.

Transformer Efficiency Comparison Table
Efficiency is an important parameter affecting operating costs.
Typical Transformer Efficiency
|
Transformer Size |
Efficiency |
|
30kVA transformer |
96% |
|
75kVA transformer |
97% |
|
150kVA transformer |
98% |
|
300kVA transformer |
98.5% |
|
500kVA transformer |
99% |
|
1000kVA transformer |
99.2% |
High-efficiency transformers significantly reduce energy losses in power distribution systems.
Transformer Cooling Methods
Effective cooling is essential to maintain transformer reliability and long service life.
Common Cooling Systems
|
Cooling Type |
Description |
|
ONAN |
Oil Natural Air Natural |
|
ONAF |
Oil Natural Air Forced |
|
OFAF |
Oil Forced Air Forced |
|
Dry Type |
Air-cooled transformer |
Dry-type transformers are often used indoors, while oil-filled transformers are preferred for high-capacity installations.
Transformer Price Reference Table
For international procurement, transformer pricing depends on capacity, materials, voltage level, and cooling type.
Estimated Transformer Price Range
|
Transformer Size |
Estimated Price Range |
|
30kVA transformer |
$600 – $1200 |
|
75kVA transformer |
$1200 – $2500 |
|
150kVA transformer |
$2500 – $4500 |
|
300kVA transformer |
$4500 – $8000 |
|
500kVA transformer |
$8000 – $15000 |
|
1000kVA transformer |
$15000 – $30000 |
|
2500kVA transformer |
$35000 – $80000 |
Prices vary depending on manufacturer specifications and export standards.
Industrial Applications of Three-Phase Transformers
Three-phase transformers are widely used across many industries.
Key Industrial Applications
|
Industry |
Transformer Use |
|
Manufacturing |
Equipment power supply |
|
Renewable energy |
Solar and wind farms |
|
Infrastructure |
Airports and railways |
|
Heavy machinery |
|
|
Reliable power distribution |
These transformers ensure stable voltage levels and reliable power delivery.
Key Factors When Selecting a Three-Phase Transformer
When selecting a transformer, engineers must evaluate several important parameters.
Transformer Selection Checklist
|
Factor |
Importance |
|
Rated capacity |
Must match load demand |
|
Voltage ratio |
Compatible with grid |
|
Cooling system |
Ensures safe operation |
|
Efficiency rating |
Reduces operating cost |
|
Installation environment |
Indoor or outdoor |
Proper selection improves system reliability and energy efficiency.

3 Phase Transformer Wiring Diagram Section
Understanding a three-phase transformer wiring diagram is essential for engineers, electricians, and installation technicians. Wiring configuration determines how voltage is transformed and how power is distributed across electrical loads.
Delta–Delta (Δ–Δ) Transformer Wiring Diagram
The Delta–Delta configuration connects both the primary and secondary windings in a triangular circuit.
Characteristics
- No neutral point
- Suitable for industrial power loads
- Provides redundancy if one winding fails
Delta–Delta Connection Table
|
Feature |
Description |
|
Primary connection |
Delta |
|
Secondary connection |
Delta |
|
Neutral availability |
No |
|
Typical voltage |
480V / 240V |
|
Applications |
Industrial machinery |
Delta connections are commonly used in high-power industrial systems where neutral grounding is not required.
Delta–Wye (Δ–Y) Transformer Wiring Diagram
The Delta–Wye transformer is the most widely used configuration in power distribution systems.
Advantages
- Provides a neutral point
- Allows both single-phase and three-phase loads
- Improves voltage stability
Delta–Wye Transformer Wiring Parameters
|
Parameter |
Description |
|
Primary side |
Delta connection |
|
Secondary side |
Wye connection |
|
Phase shift |
30° |
|
Voltage conversion |
High voltage to distribution voltage |
|
Typical application |
Utility distribution networks |
Many 11kV/400V distribution transformers use this wiring configuration.
Wye–Wye (Y–Y) Transformer Wiring Diagram
The Wye–Wye configuration connects both primary and secondary windings in star formation.
Key Features
- Provides neutral on both sides
- Suitable for long-distance power transmission
- Allows grounding of both systems
Wye–Wye Transformer Characteristics
|
Feature |
Description |
|
Primary winding |
Wye connection |
|
Secondary winding |
Wye connection |
|
Neutral availability |
Yes |
|
Voltage stability |
Moderate |
|
Application |
Transmission networks |
However, this configuration may require additional grounding transformers to maintain stability.
Comparison of Three-Phase Transformer Wiring Methods
Different wiring diagrams offer distinct advantages depending on system requirements.
Transformer Wiring Configuration Comparison
|
Configuration |
Neutral |
Phase Shift |
Typical Use |
|
Delta–Delta |
No |
0° |
Industrial loads |
|
Delta–Wye |
Yes |
30° |
Distribution systems |
|
Wye–Wye |
Yes |
0° |
Transmission systems |
Among these, Delta–Wye transformers are the most common for commercial power distribution.
Practical Installation Considerations
When installing a three-phase transformer, engineers must follow several key practices.
Installation Checklist
|
Factor |
Requirement |
|
Phase sequence |
Must match the supply system |
|
Grounding |
Required for safety |
|
Voltage verification |
Confirm primary/secondary ratings |
|
Insulation test |
Perform before energizing |
|
Load balancing |
Ensure equal phase load |
Correct installation ensures stable operation and long transformer life.
Typical Applications of 3 Phase Transformer Wiring
Three-phase transformer wiring is used across many industries.
Industry Applications
|
Industry |
Transformer Use |
|
Manufacturing |
Machinery power supply |
|
Renewable energy |
Solar and wind power |
|
Infrastructure |
Airports and railways |
|
Data centers |
Reliable electrical supply |
|
Commercial buildings |
Power distribution |
These wiring configurations allow transformers to deliver reliable and efficient electrical power.
The three-phase transformer is an essential component of modern electrical infrastructure. From small units such as 15kVA transformers to large 2500kVA and 50000kVA power transformers, these devices support industrial operations, commercial power distribution, and renewable energy systems. Understanding transformer capacity, voltage specifications, efficiency, and sizing calculations enables engineers and procurement professionals to select the most suitable transformer model.