How to Design a Dry Type Transformer: Step-by-Step Guide with Design Calculations
The design of a dry type transformer is a highly integrated multidisciplinary engineering task, encompassing electrical engineering, thermodynamics, mechanical structure, materials science, and safety standards. Unlike traditional oil-immersed transformers, dry type transformers do not rely on mineral oil for insulation and cooling. Instead, they utilize air natural cooling (AN), forced air cooling (AF), or cast resin epoxy systems. This innovative approach provides outstanding advantages such as superior fire resistance, maintenance-free operation, environmental friendliness, and suitability for indoor installations.
During the dry type transformer design process, engineers must precisely calculate electromagnetic parameters for the core and windings to optimize short-circuit impedance, load losses, and no-load losses. Thermal simulations are essential for analyzing temperature rise distribution, enabling the selection of appropriate cooling methods and insulation classes to prevent localized overheating and insulation degradation. Additionally, critical performance indicators—including voltage regulation, noise control, mechanical strength, and short-circuit withstand capability—must comply with national and international standards such as GB/T 1094 or IEC 60076 series.
Leveraging advanced CAD/CAE tools and finite element analysis, modern dry type transformer design achieves higher efficiency, lower operating costs, and extended service life. These transformers are widely applied in high-safety-demand environments like data centers, hospitals, subways, and high-rise buildings.

Step 1: Define Electrical Ratings and Application Conditions
Every transformer design begins with system requirements.
Typical inputs:
- Rated power: 100 kVA – 25 MVA
- Primary voltage: e.g. 11 kV, 22 kV, 33 kV
- Secondary voltage: e.g. 400 V, 690 V
- Frequency: 50 / 60 Hz
- Cooling: AN or AF
- Installation: indoor, confined space, high-rise building
Example: Basic Rating Definition
Assume:
- Rated power: 1000 kVA
- Primary voltage: 11 kV
- Secondary voltage: 415 V
- Frequency: 50 Hz
- Type: Cast resin dry-type transformer
This rating determines current, conductor size, insulation class, and cooling system.

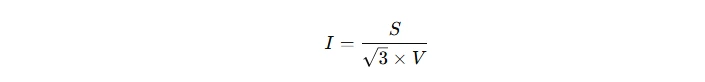
Step 2: Calculate Rated Currents (Primary and Secondary)
Rated current is fundamental to winding and conductor design.
Formula

Example Calculation
Primary current:

Secondary current:

These values drive coil windings' cross-section, current density, and thermal losses.
Step 3: Selection of Dry Type Transformer Type
Based on application:
- Cast resin dry-type transformer → high humidity, high voltage, fire safety
- VPI dry transformer → standard indoor electrical rooms
- Dry-type triplex transformers → rectifier and special industrial loads
For the example above, a cast resin transformer is preferred due to high secondary current and thermal stability requirements.
Step 4: Winding Design and Turns Calculation
Turns Ratio

If the LV winding has 40 turns, then:

Current Density Selection
Typical design values:
- Copper windings: 2.5–3.2 A/mm² (dry transformer)
- High reliability designs: lower current density
Secondary conductor cross-section:

Multiple parallel copper strips or foil windings are used to achieve this area.
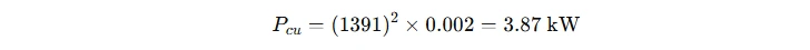
Step 5: Winding Resistance and Copper Loss Calculation
Formula

Assume:
- Secondary winding resistance = 0.002 Ω

Copper losses are a major contributor to temperature rise, influencing cooling system design.
Step 6: Core Design and Magnetic Flux Calculation
EMF Equation

Where:
- BBB = flux density (typically 1.4–1.6 T)
- AAA = core area
Assuming:
- Flux density = 1.5 T
- Frequency = 50 Hz
The core cross-section is selected to keep no-load losses and noise within limits, especially critical in high-rise buildings.
Step 7: Cooling System Design (Air Cooled vs Forced Air)
Dry transformers rely on air cooling, but load and ambient conditions dictate the method.
Temperature Rise Limits
- Class F insulation: 100 K
- Class H insulation: 125 K
Cooling Decision Example
If calculated total losses:
- Core losses: 1.8 kW
- Copper losses: 3.9 kW
- Total losses: 5.7 kW
Natural air cooling may be sufficient up to ~1000 kVA. If overload capacity or confined installation is required, forced air (AF) is added to increase the rating by 25–40%.
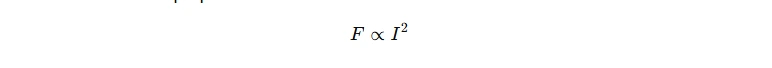
Step 8: Short-Circuit Withstand and Mechanical Design
Short-circuit forces are proportional to:

High secondary currents require:
- Rigid coil bracing
- Axial and radial reinforcement
- Strong resin encapsulation (for cast resin transformers)
This ensures compliance with IEC short-circuit withstand requirements.
Step 9: Voltage Regulation Calculation
Approximate Formula

Well-designed dry transformers typically achieve:
- Voltage regulation: 4–6%
Low regulation is essential for sensitive loads and stable output voltage.
Step 10: Industry Standards and Testing
Dry-type transformers must comply with:
- IEC 60076
- IEEE C57
- Local grid and project specifications
Routine and type tests include:
- Winding resistance measurement
- Temperature rise test
- Partial discharge test
- Sound level measurement

Application-Specific Design Considerations
|
Application |
Design Focus |
|
High-rise buildings |
Low noise, compact size |
|
Data centers |
Forced air cooling, redundancy |
|
Renewable energy |
Voltage stability, efficiency |
|
Industrial plants |
Overload capability |
Designing a dry-type transformer is a calculation-driven engineering process that integrates electrical ratings, winding resistance, cooling system performance, and mechanical integrity. By applying correct design calculations at each stage—from rated current to temperature rise—engineers ensure reliable operation, safety, and compliance with industry standards.
For critical infrastructure such as high-rise buildings, industrial facilities, and renewable energy systems, partnering with an experienced dry type transformers manufacturer ensures that theoretical calculations translate into robust, field-proven transformer designs.