How to Design a Single Phase Transformer: Complete Handbook with Formulas, Materials & Efficiency Optimization
1. Single-Phase Transformer Design
Single-phase transformer design is a critical process in electrical engineering, involving the precise calculation and selection of core materials, windings, insulation, and parameters to achieve optimal performance, efficiency, and reliability. At its core, a single-phase transformer operates on electromagnetic induction principles, transferring electrical energy from a primary winding to a secondary winding via a shared magnetic core—typically constructed from high-grade silicon steel laminations (E-I or shell-type) to minimize eddy current and hysteresis losses.
Key design steps include determining the rated kVA capacity, primary and secondary voltages (e.g., 120/240V common in residential applications), turns ratio (N_p/N_s = V_p/V_s), flux density (usually 1.0–1.5 Tesla), and current densities for copper or aluminum windings. Engineers optimize core cross-section for minimal no-load losses, calculate the window area for the conductor space factor (~0.5), and incorporate tap changers (±2×2.5%) for voltage regulation. Modern designs prioritize DOE 2016/202X efficiency compliance, low temperature rise (55–65°C), and options like oil-immersed (ONAN) or dry-type cooling for pole-mounted, pad-mounted, or distribution uses.
Advanced considerations encompass equivalent circuit modeling (with R1, X1, R0, X0 parameters), loss reduction techniques, overload capacity, and eco-friendly materials like FR3 fluid. Proper single-phase transformer design ensures high efficiency (>98% in premium models), cost-effectiveness, and compliance with ANSI/IEEE, IEC standards—essential for export markets in North America, Europe, Asia, and beyond.
For a professional single-phase transformer manufacturer, design is not merely about voltage conversion—it is an integrated process involving magnetic design, thermal management, material optimization, and compliance with international standards (IEC, IEEE, ANSI).
From an engineering standpoint, transformer design must balance:
- Electrical performance
- Mechanical integrity
- Thermal stability
- Material usage efficiency
- Long-term reliability
The core objective is safe and efficient energy transfer between primary and secondary windings while minimizing losses and maximizing service life.

2. Fundamental Principles and Magnetic Flux Theory
The operation of a transformer is based on Faraday’s Law:
E = 4.44fNΦmax
Where:
- E = RMS induced voltage
- f = frequency (Hz)
- N = number of turns
- Φmax = maximum magnetic flux (Wb)
Magnetic flux depends on:
Φ=B×A
Where:
- B = flux density (Tesla)
- A = cross-sectional area of the core (m²)
Proper control of flux density is critical. Excessive B leads to saturation and increased core losses, while too low B increases material cost due to oversized core dimensions.
Typical flux density values:
|
Core Material |
Recommended Flux Density (T) |
|
CRGO Silicon Steel |
1.5 – 1.7 |
|
Amorphous Core |
1.3 – 1.4 |
Maintaining optimized magnetic flux ensures stable voltage and improved material efficiency.
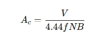
3. Core Design: Cross-sectional Area & Core Losses
In single-phase transformer core design, the cross-sectional area (A) of the magnetic core is a fundamental parameter that directly influences flux density (B), core losses, and overall efficiency. The core—typically made of cold-rolled grain-oriented silicon steel laminations (E-I or shell type)—is sized using the equation:
A = (V × 10⁸) / (4.44 × f × N × B_max × K_f),
where V is RMS voltage, f is frequency (50/60 Hz), N is the number of turns, B_max is the maximum flux density (usually 1.0–1.5 T for optimal performance), and K_f is stacking factor (~0.95–0.97).
A larger cross-sectional area reduces B_max, lowering hysteresis and eddy current losses (core losses = hysteresis + eddy). Hysteresis loss scales with B_max^{1.6–2}, while eddy current loss is proportional to (B_max × f × t)^2, where t is lamination thickness (0.23–0.35 mm common in 2026 designs).
Modern designs target low no-load losses (<0.5–1 W/kg at 1.5 T) to meet DOE 2016/202X and IEC efficiency standards. Thinner laminations, high-permeability GO steel, and optimized B (around 1.3–1.4 T) minimize core losses while keeping material costs and transformer size balanced—critical for pole-mounted, pad-mounted, and distribution single-phase transformers in export markets.
The cross-sectional area of the magnetic core determines how much magnetic flux it can carry without saturation.
Approximate core area formula:

Design considerations:
- Core material (CRGO or amorphous)
- Lamination thickness (reduces eddy currents)
- Stacking factor (typically 0.9–0.95)
- Cooling method (air or oil)
Core Losses
Core losses consist of:
- Hysteresis loss
- Eddy current loss
They depend on frequency, flux density, and material quality. Modern transformer design emphasizes reducing core losses to improve efficiency, especially in long-term continuous operation.
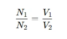
4. Winding Design: Turns Ratio, Wire Sizes & Voltage Levels
In single-phase transformer winding design, the turns ratio (N_p: N_s) is the foundational parameter, directly determining voltage transformation per Faraday's law: V_s / V_p = N_s / N_p (or inversely for current: I_p / I_s = N_s / N_p). For common residential applications (e.g., 240V primary to 120/240V secondary split-phase), the ratio is typically 2:1 overall, with a center-tapped secondary for balanced 120V legs. Precise calculation starts from rated voltages, incorporating tap changers (±2×2.5% usually) for regulation under load variation.
Wire sizes are selected based on current density (typically 2–3 A/mm² for copper, or 1.5–2 A/mm² for aluminum) to limit I²R losses and temperature rise (≤65°C). Primary wire carries lower current (I_p = kVA / V_p), allowing thinner gauges; secondary handles higher current (I_s = kVA / V_s), requiring thicker wire (e.g., AWG #10–#2 for 15–50 kVA models). Space factor (~0.4–0.6) in the core window constrains total conductors.
Voltage levels dictate insulation class (e.g., 600V for LV, higher BIL for MV primaries like 12470V). Modern designs optimize for DOE 2016/202X efficiency, using enameled copper/aluminum, layer insulation, and interleaving to reduce leakage reactance. Proper winding ensures high efficiency (>98% possible), minimal hotspots, and compliance with ANSI/IEEE/IEC standards for pole-mounted or pad-mounted single-phase transformers in global export markets.
Turns Ratio

Where:
- N1, N2 = primary and secondary turns
- V1, V2 = primary voltage and secondary voltages
For example, in a single-phase 480 to 120/240 transformer wiring diagram, the ratio is:
480: 240= 2: 1
The secondary winding may include a center tap for a 120/240V split-phase supply.
Wire Sizes Selection
Conductor size depends on current density:

Typical current density:
|
Cooling Type |
Current Density (A/mm²) |
|
Oil-immersed |
2.5 – 3.5 |
|
Dry type |
2.0 – 3.0 |
Oversized conductors increase material usage; undersized conductors raise temperature and reduce life cycle.

5. Materials Selection and Material Efficiency
Key materials:
|
Component |
Typical Material |
Design Goal |
|
Core |
CRGO silicon steel |
Low hysteresis loss |
|
Conductor |
Copper / Aluminum |
High conductivity |
|
Insulation |
Kraft paper / Epoxy |
Thermal endurance |
|
Tank |
Mild steel |
Mechanical strength |
Is Copper Always Preferred?
Copper offers superior conductivity and better thermal performance, but aluminum reduces weight and cost. For export markets, decision-making often considers:
- Raw material cost volatility
- Environmental impact
- Recycling efficiency
- Transportation cost
Optimizing material reduces waste and improves competitiveness for a single-phase transformer manufacturer.
6. Transformer Diagrams and Wiring Configurations
Single-phase transformer diagrams and wiring configurations are essential for safe installation, correct voltage output, and compliance with electrical codes. The most common setup is the split-phase residential configuration: primary winding connected to single-phase high voltage (e.g., 7200V or 12470GrdY/7200), secondary with center-tapped winding providing 120/240V output—two 120V legs (L1-N and L2-N) and 240V across L1-L2 for appliances.
Key diagrams include:
- Schematic diagram: Shows primary and secondary windings, core, taps (±2×2.5%), and equivalent circuit (R1, X1, Rc, Xm).
- Connection diagram: Illustrates bushing terminals (H1/H2 primary, X1/X2/X3 secondary), with X2 as neutral/center tap grounded.
- CSP wiring: Built-in fuses, arresters, and breakers on primary/secondary sides for self-protection.
- Pole-mounted wiring: Primary bushings to overhead lines, secondary to service drop (triplex cable).
- Pad-mounted wiring: Dead-front or live-front elbows for underground cables, loop-feed or radial-feed options.
Proper grounding (neutral bonded at transformer or service entrance) prevents shock hazards. Diagrams often follow ANSI/IEEE C57.12.20 standards, with color-coded terminals (H1 black, X1/X3 red/black) for easy identification.
Understanding these configurations ensures correct phasing, balanced loads, and high efficiency in pole-mounted, pad-mounted, or distribution single-phase transformers—critical for North American, export, and global utility projects.
Single Phase Transformer Diagram
A standard single-phase transformer diagram includes:
- Laminated core
- Primary winding
- Secondary winding
- Insulation barriers
Wiring Configurations
-
Single-phase transformer wiring diagram
-
Single-phase 480 to 120/240 transformer wiring diagram
- Single-phase pole-mounted transformer wiring diagram
-
3-phase single-phase transformer
-
Single to three phase transformer
|
Application |
Voltage Example |
Installation Type |
|
Residential |
120/240V |
Pole mounted |
|
Industrial |
480/240V |
Floor mounted |
|
Rural grid |
11kV/230V |
Pole mounted |
|
Phase conversion |
240V → 3Φ |
Rotary/static system |
7. Losses, Efficiency Optimization & Thermal Design
Single-phase transformer losses consist of no-load losses (core losses: hysteresis + eddy current) and load losses (copper losses: I²R in windings). No-load losses dominate at low loads and are minimized by using high-permeability grain-oriented silicon steel, thinner laminations (0.23–0.27 mm), and optimized flux density (1.3–1.4 T). Load losses are reduced with low-resistance copper windings, larger conductor cross-sections, and aluminum alternatives where cost-effective.
Efficiency optimization targets >98% peak efficiency per DOE 2016/202X and IEC standards. Techniques include precise turn ratios, reduced leakage reactance via interleaving windings, low space factor losses, and eco-friendly insulating oils (FR3) for better heat transfer. Modern designs incorporate amorphous core materials for ultra-low no-load losses in premium models.
Thermal design ensures temperature rise stays within limits (55–65°C for oil-immersed, 80–100°C for dry-type). Key elements: adequate oil volume/convection in ONAN cooling, finned tanks or radiators for heat dissipation, hot-spot calculations (via thermal models), and overload capacity (e.g., 150% for short durations). Proper ventilation, thermal sensors, and derating for ambient temperatures (>40°C) prevent insulation aging and extend lifespan to 30+ years.
These optimizations deliver high efficiency, lower operational costs, and compliance for pole-mounted, pad-mounted single-phase transformers in global export markets.
Total transformer losses:
Ptotal=Pcore+Pcopper
Copper Loss
Pcu=I2R
Copper loss depends on resistance and load current.
Efficiency

Modern designs target:
- ≥98% efficiency for distribution units
- Reduced no-load loss for long-term operation
Thermal Considerations
The temperature rise must comply with the insulation class:
|
Insulation Class |
Max Temperature (°C) |
|
A |
105 |
|
F |
155 |
|
H |
180 |
Efficient cooling improves life cycle performance and reduces environmental impact.

8. Manufacturing Process & Materials Flow
Professional transformer design integrates manufacturing feasibility.
Manufacturing Process
- Core cutting and stacking
- Coil winding
- Insulation assembly
- Core-coil assembly
- Vacuum drying
- Oil filling (if oil type)
- Testing
Materials Flow Optimization
- Reduce scrap during lamination cutting
- Optimize copper length calculation
- Automate coil winding
- Implement quality checkpoints
Effective materials and energy management enhances profitability and sustainability.
9. Life Cycle, Environmental Impact & Sustainability
Life cycle analysis considers:
- Raw material extraction
- Manufacturing energy consumption
- Operational losses
- End-of-life recycling
Environmental impact reduction strategies:
- Use amorphous cores to reduce core losses
- Improve material efficiency
- Minimize oil leakage risk
- Design for disassembly and recycling
A well-designed transformer can operate 25–35 years with proper maintenance.
10. Practical Engineering Checklist
Before finalizing transformer design:
- Verify primary voltage and secondary voltages
- Confirm the turns ratio calculation
- Check flux density within limits
- Validate wire sizes and temperature rise
- Optimize cross sectional area
- Evaluate core losses and copper losses
- Ensure compliance with IEC/IEEE standards
- Review mechanical stability
- Confirm efficiency at 50% and 100% load
- Evaluate export packaging requirements
Designing a single-phase transformer is a multidisciplinary engineering task combining electromagnetic theory, thermal analysis, materials science, and manufacturing optimization. A competitive single phase transformer manufacturer must integrate magnetic flux control, optimized material usage, precision winding design, and efficient production processes.
By balancing core losses, conductor sizing, insulation selection, and life cycle considerations, engineers can achieve superior efficiency, long-term reliability, and reduced environmental impact—meeting global market requirements and advancing modern power system performance.